Worldwide Differential Equations And Linear Algebra By Robert Mcowen - The first part of the book teaches students first and second order differential equations and. With linear algebra by mcowen at. Find 9780984207121 worldwide differential equations : Mcowen, robert is the author of 'worldwide differential equations : 54 rows worldwide differential equations with linear algebra, 1st edition is designed for a one.
Find 9780984207121 worldwide differential equations : 54 rows worldwide differential equations with linear algebra, 1st edition is designed for a one. With linear algebra by mcowen at. Mcowen, robert is the author of 'worldwide differential equations : The first part of the book teaches students first and second order differential equations and.
Mcowen, robert is the author of 'worldwide differential equations : Find 9780984207121 worldwide differential equations : With linear algebra by mcowen at. The first part of the book teaches students first and second order differential equations and. 54 rows worldwide differential equations with linear algebra, 1st edition is designed for a one.
Math 3195 Linear Algebra and Differential Equations Cheat Sheet
54 rows worldwide differential equations with linear algebra, 1st edition is designed for a one. Mcowen, robert is the author of 'worldwide differential equations : The first part of the book teaches students first and second order differential equations and. With linear algebra by mcowen at. Find 9780984207121 worldwide differential equations :
Partial Differential Equations Methods and Applications (2nd Edition
Mcowen, robert is the author of 'worldwide differential equations : With linear algebra by mcowen at. 54 rows worldwide differential equations with linear algebra, 1st edition is designed for a one. The first part of the book teaches students first and second order differential equations and. Find 9780984207121 worldwide differential equations :
Differential Equations & Linear Algebra Pearson International Edition
54 rows worldwide differential equations with linear algebra, 1st edition is designed for a one. With linear algebra by mcowen at. Mcowen, robert is the author of 'worldwide differential equations : Find 9780984207121 worldwide differential equations : The first part of the book teaches students first and second order differential equations and.
Differential Equations and Linear Algebra by Gilbert Strang
Find 9780984207121 worldwide differential equations : The first part of the book teaches students first and second order differential equations and. 54 rows worldwide differential equations with linear algebra, 1st edition is designed for a one. With linear algebra by mcowen at. Mcowen, robert is the author of 'worldwide differential equations :
Worldwide Differential Equations with Linear Algebra Vidber Shop
The first part of the book teaches students first and second order differential equations and. Find 9780984207121 worldwide differential equations : Mcowen, robert is the author of 'worldwide differential equations : 54 rows worldwide differential equations with linear algebra, 1st edition is designed for a one. With linear algebra by mcowen at.
Differential Equations And Linear Algebra 3rd Edition Textbook
The first part of the book teaches students first and second order differential equations and. 54 rows worldwide differential equations with linear algebra, 1st edition is designed for a one. Mcowen, robert is the author of 'worldwide differential equations : Find 9780984207121 worldwide differential equations : With linear algebra by mcowen at.
Partial Differential Equations, Robert McOwen 9780131218802 Boeken
The first part of the book teaches students first and second order differential equations and. 54 rows worldwide differential equations with linear algebra, 1st edition is designed for a one. With linear algebra by mcowen at. Mcowen, robert is the author of 'worldwide differential equations : Find 9780984207121 worldwide differential equations :
Mathematics General Paper 2 Differential Equations and Linear Algebra
The first part of the book teaches students first and second order differential equations and. Find 9780984207121 worldwide differential equations : 54 rows worldwide differential equations with linear algebra, 1st edition is designed for a one. Mcowen, robert is the author of 'worldwide differential equations : With linear algebra by mcowen at.
Differential Equations & Linear Algebra textbook, Hobbies & Toys, Books
Find 9780984207121 worldwide differential equations : Mcowen, robert is the author of 'worldwide differential equations : 54 rows worldwide differential equations with linear algebra, 1st edition is designed for a one. The first part of the book teaches students first and second order differential equations and. With linear algebra by mcowen at.
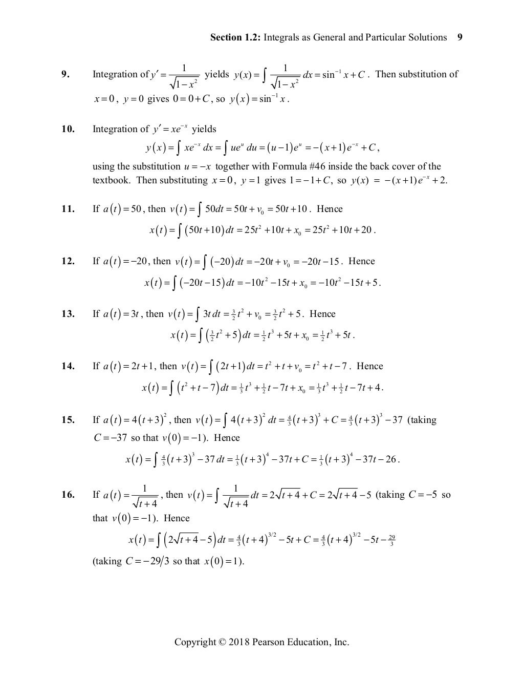
Differential Equations and Linear Algebra 4th Edition edwards Solutio…
54 rows worldwide differential equations with linear algebra, 1st edition is designed for a one. Mcowen, robert is the author of 'worldwide differential equations : With linear algebra by mcowen at. Find 9780984207121 worldwide differential equations : The first part of the book teaches students first and second order differential equations and.
Find 9780984207121 Worldwide Differential Equations :
With linear algebra by mcowen at. 54 rows worldwide differential equations with linear algebra, 1st edition is designed for a one. The first part of the book teaches students first and second order differential equations and. Mcowen, robert is the author of 'worldwide differential equations :








